Logistic Regression Math
Derivative the Gradient Descent of Linear and Logistic Regression


Gradient Descent of Linear Regression



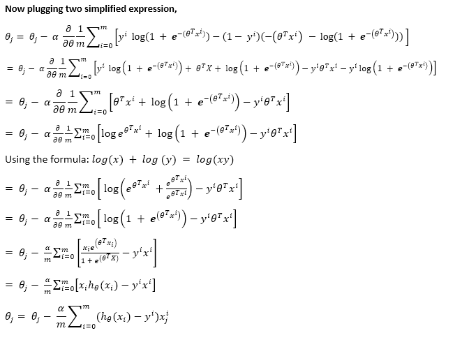
Gradient Descent of Logistic Regression






Last updated