Example: MATLAB
MATLAB Online Course
Learn the basics of MATLAB® through this introductory tutorial on commonly used features and workflows.
List of other Self-Paced Online Courses:
MATLAB Examples of Numerical Programming
by Y.-K. Kim
Example codes using MATLAB built-in functions
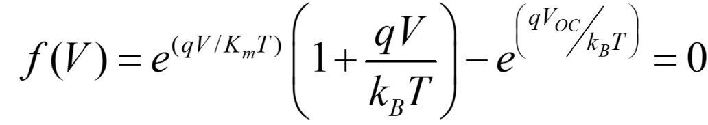
Non-linear solver
First, define a non-linear function in the form of f(v)=0.
Then, use a non-linear equation solver fzero ().

v0=0.5;
v=fzero(@fnSolarCell,v0)
function y=fnSolarCell(x)
q=1.6022E-19; k=1.3806E-23; Voc=0.5; T=297;
qkT=q/(k*T);
y=exp(qkT*x)*(1+qkT*x)-exp(qkT*Voc);
end
Integration
Integrating discrete dataset: trapz()
Trapezoidal Method
% Discrete dataset
x=[0 5 10 15 20 25 30 35 40 45 50 55 60]
y=[0 3 8 20 33 42 40 48 60 12 8 4 3]
plot(x,y)
% Matlab function
I_matlab = trapz(x,y);
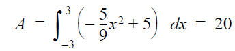
Integrating a Function: integral(fun, a,b)
The area of the shaded region shown in the figure can be calculated by:

a=-3; b=3; N=8;
h=(b-a)/N;
x=a:h:b;
fun=@(x) (1-x.^2).^0.5;
% Matlab function
I_matlab = integral(fun,a,b);
Differentiation
Differentiating discrete dataset
% Differentiation from discrete data
X = [1 1 2 3 5 8 13 21];
Y = diff(X)
% Differentiation from discrete data
h = 0.001; % step size
X = -pi:h:pi; % domain
f = sin(X); % range
Y = diff(f)/h; % first derivative
Z = diff(Y)/h; % second derivative
plot(X(:,1:length(Y)),Y,'r',X,f,'b', X(:,1:length(Z)),Z,'k')
Differentiate a Function
% Ordinary Differentiation of a function
syms x
g = exp(x)*cos(x);
diff(g)
% 2nd order Differentiation of a function
diff(g,2)
% Partial Differentiation of a function
syms s t
f = sin(s*t);
diff(f,t)
Linear Equations
Solve for Ax=b

% A, b
A=[9.5, -2.5, 0, -2, 0; -2.5, 11, -3.5, 0, -5; 0,-3.5, 15.5, 0, -4; -2, 0, 0, 7, -3; 0, -5, -4, -3, 12];
b=[12; -16; 14; 10; -30];
% solve for Ax=b
x=A\b
x=inv(A)*b
% condition number
c=cond(A)
% norm
n=norm(A)
% eigenvalue/vector
[eigVec,eigVa]=eig(A)
% QR factorization
[Q,R]=qr(A)
% LU factorization
[L,U]=lu(A)
Polynomial fitting
t = 1:1:15;
V=[2.272 2.092 1.887 1.629 1.482 1.308 1.030 0.875 0.693 0.470 0.336 0.095 -0.163 -0.371 -0.511];
% Matlab function for polynomial fit
Zopt=polyfit(t,V,1);
Yopt=polyval(Zopt,t); % Matlab function
figure
plot(t,V, '*r')
hold on
plot(t,Yopt, '-b')
xlabel('time','fontsize',15)
ylabel('V','fontsize',15)
Exponential Fitting
RC circuit with unknown capacitor C and resistor of 5M
a) Find the capacitance C from curve fitting b) Estimate the voltage when time=32sec

Xdata = 1:1:15;
Ydata = [9.7 8.1 6.6 5.1 4.4 3.7 2.8 2.4 2.0 1.6 1.4 1.1 0.85 0.69 0.6];
% Matlab function
Zopt=polyfit(Xdata,log(Ydata),1)
R=5e6;
a0=Zopt(2);
a1=Zopt(1);
V0=exp(a0);
tau=-1/a1;
C=tau/R;
% Exponential model
Yopt=V0*exp(-1/(R*C).*Xdata);
figure
plot(Xdata,Ydata, '*r')
hold on
plot(Xdata,Yopt)
hold on
xlabel('time (s)','fontsize',15)
ylabel('V_R(volt)','fontsize',15)
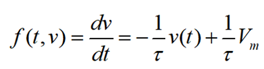
1st order ODE-IVP
Solve for the response of an RC circuit with a DC input. Let tau= 4.9919; Vm=11.91;

% Initial Condition
a=0; b=15; h=1;
y0 = 11.91;
t=a:h:b;
%% MATLAB's function ODE45
[tmat,vmat] = ode45(@myRC, [a b], y0); % Fourth/Fifth RK
figure()
plot(tmat,vmat,'.b')
xlabel('time (s)','fontsize',15)
ylabel('V_R(volt)','fontsize',15)
function dvdx = myRC(v)
tau=4.9919; T=1/tau; Vm=11.91;
dvdx =-T*v + 1*T*Vm;
end
2nd order ODE - IVP
Solve an m-c-k system with a sinusoidal input.
Use m=10kg ; k=800 N/m; c=200 N/(m/s), f=10Hz , h=0.01, Fdc=100N.

% Initial Condition
y0 = 0; v0 = 0;
Yinit = [y0 v0];
a=0; b=1; h=0.01;
tspan = [a:h:b];
% MATLAB's function ODE45
[Time Y] = ode45(@mckFunc,tspan,Yinit);
figure
subplot(2,1,1)
plot(Time,Y(:,1),'--b')
xlabel('Time (s)')
ylabel('Position (m)')
title('ode45')
subplot(2,1,2)
plot(Time,Y(:,2),'k')
xlabel('Time (s)')
ylabel('Velocity (m/s)')
function [dXdt] = mckFunc(t,x)
dXdt=zeros(2,1); % column vector
m=10; k=800; c=200; f=10;
FinDC=100;
Fin=FinDC*cos(2*pi*f*t);
dXdt(1)=x(2);
dXdt(2)=1/m*(Fin-c*x(2)-k*x(1));
end
Eigenvalue
What are the eigenvalues for a given m-c-k system response? Use m=10kg ; k=800 N/m; c=200 N/(m/s)


k=800; c=200; m=10;
A = [0 1; -k/m, -c/m];
disp('Eigvalue and vector of A (MATLAB):');
[eigVec,eigVa]=eig(A)
More tutorial codes
Last updated
Was this helpful?